長期タームプレミアムの大幅な回復
バークレイズの金利部門責任者は、国債がリスク補償を再導入し、金利の革新の新たな分野を開拓していると述べています。
長期にわたり圧縮されていたリスクプレミアムの時代は終焉を迎えました。10年以上にわたり、相次ぐ量的緩和政策が国債利回りに持続的な下落圧力をかけ、投資家がデュレーションリスクを負担する際に求める補償を減少させてきました。この状況は2022年に転換し、主要中央銀行による金融引き締め政策が、国債価格形成の中核要素として期間プレミアムの再浮上をもたらしました。
この変化は、イールドカーブの長期端で最も顕著に表れています。ドイツ国債から米国債、日本国債に至るまで、長期利回りは現在、インフレ、成長、資金調達コストに関する不確実性に対する補償需要の回復を反映しています。
タームプレミアムの再導入は、ソブリン債の資金調達戦略を再構築し、発行体にとって制約要因となる一方、投資家にはポートフォリオ構築の見直しを促しています。これには、キャリー戦略や構造化利回り戦略の再評価の可能性も含まれます。
本質的に、低確率の市場悪化シナリオへのエクスポージャーを前提としたタームプレミアムの売却は、これまで安定したプラスのキャリー収益をもたらしてきました。フォワードカーブがレポ資金調達に比べて急勾配化する中、このリスクとリターンのバランスが再び債券市場の焦点となっています。
本稿では以下の点を考察します:
- 国債のフォワード利回りがどのように構築され、資金調達されているかを分析します。
- フォワード・イールドカーブの形状と、そこに内在するキャリーを検討します。
- 定常満期国債(CMT)金利の台頭、および関連するオートコール構造やその他の利回り主導型イノベーションを探求します。
- レポ・オーバーナイト指数スワップ(OIS)ベーシス・スワップからCMT連動ボラティリティに至るまで、この新たな環境下におけるヘッジ、リスク移転、バランスシート最適化を可能とする新興ツール群をご紹介します。
フォワード・イールドの構築
利回り(または額面利回り)の本質は、債券の割引キャッシュフローを市場価格と等価にする利率水準です。この基本的等式が利回りと価格の連動性を定義します:利回りが上昇すると価格は下落し、利回りが低下すると価格は上昇します。したがって利回りは、債券への投資資本に対するリターンを測定するものであり、資金の時間価値とリスクに対する補償の両方を反映しています。安定した環境では、安全で流動性の高い資産は通常低い利回りを持ち、一方、インフレリスクや信用リスクが高い、あるいは流動性が低い債券はより高い利回りを要求します。
フォワード利回りはこの概念を将来に拡張したものです。スポット利回りが今日の債券価格から導かれるリターンを示すのに対し、フォワード利回りは将来の決済日に合意された価格から算出されます。債券は現物商品であるのに対し、債券フォワードはデリバティブ(金融派生商品)であり、将来の特定価格・特定日付での当該債券の交換を今日約束する契約です。
全ての先渡取引と同様に、価格設定は裁定取引のない原則に従います。将来の時点で債券を売却する行為を再現するには、以下の手順を踏みます:
- ・現物市場での債券購入
- 担保付き借入により購入資金を調達(T時点までのターム・レポ)。
- 債券の残存期間中にクーポンを回収し、担保付貸付を通じてT時点まで再投資する(ターム・リバース・レポ)。
- 満期時に債券を引渡し、合意されたフォワード価格と交換する。
この再現プロセスから、フォワード利回りの主な決定要因として以下の2点が浮かび上がります:
- 原債券の現物利回り。
- 満期までの資金調達コスト(主にターム・レポおよびリバース・レポ金利によって決定されます)。
簡略化して申し上げますと、T時点における債券のフォワード価値は、そのスポット価値に満期までの担保付借入コストを加え、同期間におけるクーポン再投資価値を差し引いたものとなります。
この資金調達経路が、フォワード利回りとレポ金利の逆相関関係を説明します:
- 長期レポ金利の上昇は借入コストを押し上げ、フォワード債券の含み価値を高め、フォワード利回りを低下させます。
- 短期レポ金利が低下すると、資金調達コストが減少し、フォワード債券の含み価値が低下し、フォワード利回りが上昇します。
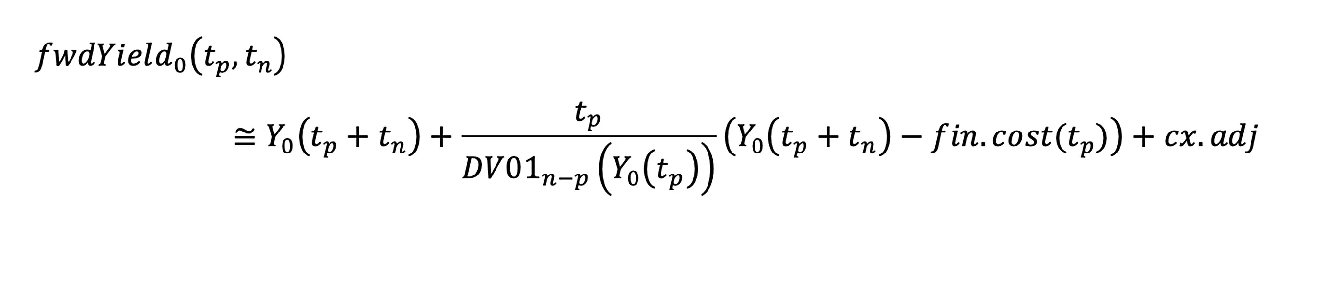
フォワード利回りは以下の式で近似できます:
式中:
この式の裏にある考え方
この式はヘッジの観点から直感的に理解できます。フォワード利回りを再現するには、名目金額を(1/DV01)でスケールした現物債券を購入し、そのポジションを資金調達市場で資金調達します。金利が上昇(または低下)すると、ポジションのDV01は減少(または増加)し、ヘッジの調整が必要となります。具体的には、債券の買い増しまたは売却(コンベクシティ効果)と、それに応じたレポ取引の拡大または縮小(資金調達効果)が行われます。
この観点から、フォワード利回りは原資産となるスポット利回りと直線的に連動する一方、スポット利回りと資金調達コスト(タームレポレート)の差によって駆動される非線形要素も組み込まれています。実務的には、スポット利回りが上昇するとより多くの債券を購入する必要が生じ、利回り-資金調達スプレッドへのエクスポージャーが増幅されます。逆にスポット利回りが低下する場合も同様の現象が起きます。
資金調達コストがフォワード利回りに与える影響は、デュレーションとヘッジ規模の逆相関関係を反映する(1/DV01)係数によって増幅されます。
簡略化のため、債券のクーポンに対する明示的な依存関係は式には示されていません。実際には、クーポンが高いほどフォワード利回りは上昇する傾向があります。これは、再投資されるクーポンフローが追加的なキャリー要素をもたらすためです。
G7ユーロ金利は、通貨同盟における7大経済圏のGDP加重平均として構築された、ユーロ圏ソブリン利回りの合成指標です。加重係数は時間的に安定しており、ユーロ圏総GDPの約85~90%を捕捉するため、同地域のコア金利動向を示す堅牢かつ代表的なベンチマークを提供します。
長期レポスプレッドは直接観測できません。本枠組みでは、利回り・国内通貨CDS(クレジットデフォルトスワップ)の関係から理論的に導出されます。この際、国内CDS水準は外貨建てCDSの約70%に相当すると仮定します(為替ジャンプ・トゥ・デフォルト要因を考慮するため)。追加的なバランスシートコストとして、レバレッジ比率3.5~5.5%、資本コスト10%、スティッキネス係数50%を代入し、これらを総合すると約10~12bpの賃貸料が導かれます。これにより、フォワード利回りの推定に向けた簡潔かつ透明性の高い手法が提供されます。
フォワード・イールドカーブ
標準的な債券利回り曲線は現物債券価格から構築されます。これに対し、フォワード利回り曲線はフォワード開始型債券の価格から導出されます。特定の発行体については、フォワード開始日(満期)とテナー(開始日から満期までの期間)の組み合わせを各ポイントとして、フォワードマトリクス全体をマッピングすることが可能です。
期間利回りを固定することで、フォワード・カーブ(連続するフォワード開始日における一連のインプライド・イールド)の構築が可能となります。例えば、米国債10年物フォワード・カーブは、1年後、2年後、そして20年後以上に至る場合も多い、10年物米国債の市場がインプライドする利回りを示しています。
タームプレミアムの復活は、単なる利回りの変化ではなく、現物市場・レポ市場・デリバティブ市場が相互に作用する仕組みの再構築を示しています。
この視点は、デリバティブ実務者にとっては自然なものです。彼らは日常的にフォワード予想に基づいて取引を行うのに対し、現物債券トレーダーは今日のインプライド・イールドに焦点を当てます。したがって、フォワード・イールドカーブはこれら二つの見解の交差点に位置し、担保付金融市場(特にターム・レポ市場)がその架け橋の役割を果たします。
5年を超える期間では、スポット利回り曲線は通常、上向きに傾斜します。これは期間プレミアムを内包しているためです。つまり、期間が長くなるほど不確実性が増し、投資家が求める補償も高くなるのです。これに対し、信用リスクのないヘッジ目的で主に使用されるベンチマークである担保付スワップ曲線では、年金基金や保険会社による長期デュレーションへの構造的な需要が、遠端を平坦化させる傾向があります。
しかしながら、フォワード・イールドカーブは、特に担保付金融市場(ターム・レポ)の金利が債券利回りを大きく下回る状況下では、スポット・カーブの急峻さを継承し、場合によっては増幅させることがあります。この急峻さは単なる幾何学的特性ではなく、キャリー・プレミアムとタームプレミアムを機械的に組み込んでいるのです。時間の経過とともに、フォワード利回りはスポット利回りに収束します。これにより、フォワード債券の買い手(タームプレミアムの売り手)は、債券のパフォーマンスが期待を下回るリスクを負うことに対する補償を得ることになります。
イールドカーブが急峻化し、資金調達コストが固定された状態が続く場合、フォワード・キャリーは期間プレミアムの最も純粋な表現となります。
フォワード利回りに組み込まれたキャリー
フォワード利回りに含まれるキャリーは、フォワード利回りと対応するスポット利回りのスプレッドとして定義されます:
このスプレッドは主に以下の3つの要因を反映しています:
- スロープ・キャリーは、短期と長期の満期におけるスポット・イールドカーブの傾斜の寄与度を捉えます。
- ファイナンス・キャリーは、債券利回りと担保付き資金調達コスト(ターム・レポ)との差を反映します。
- コンベクシティ ・キャリーは、 デュレーション・ヘッジと金利変動性の非線形的な影響から生じるコンベクシティ調整を組み込みます。
この計算式の背景にある考え方
この分解は実践的な例を通じて理解できます。5年物フォワードと10年物米国債を例に考えてみましょう:
- スロープ効果は、15年物と10年物のスポット利回り間のスプレッドに反映されます。
- ファイナンス効果は、15年物利回りと5年物リファイナンス金利の差に対応します。
- 凸性効果は5年物ボラティリティに依存し、金利変動に伴うヘッジ調整コストを決定します。
キャリーは、以下の3条件が重なった場合に顕著となる傾向があります:
- 急勾配のイールドカーブ(十分な期間プレミアムを内包)
- 緩和的な資金調達環境(タームレポ金利が債券利回りを大幅に下回る状況)。
- 金利経路の不確実性を反映したボラティリティの上昇。
分解結果から、総キャリーはスロープ、ファイナンス、コンベクシティの各要素間で比較的良好なバランスが取れており、ボラティリティ調整により効率性の標準化された指標が提供されていることがわかります。
市場環境
歴史的に低い金利水準が続いた時期には、年金基金や保険会社はデュレーション目標の達成や負債のヘッジのために長期債を吸収しました。金利が上昇するにつれ、こうした構造的なニーズは減退(コンベクシティ効果)し、投資家は長期リスクを保有するより大きなプレミアムを要求し始めました。同時に、持続的なインフレ圧力により中央銀行は量的引き締めを開始しましたが、一方で政府は財政赤字の拡大により資金調達要件が急激に高まる状況に直面しました。
最近では、インフレが緩和の兆しを見せていることから、中央銀行は政策金利の引き下げサイクルを開始しました。市場は、中央銀行の目標値を中心に広く定着した長期的なインフレ期待を価格に織り込んでおり、これが金利予測の下方修正につながり、結果として資金調達条件の緩和をもたらしています。
その結果、国債利回りと資金調達コストの差が拡大し、イールドカーブに有意義な期間プレミアムが再び導入され、フォワード・キャリーの貨幣化が可能となりました。
ここに一つの逆説が生じます。中央銀行がバランスシート縮小(量的引き締め)と利下げを同時に推進することで、フォワードに組み込まれたキャリー利益を増大させる魅力的な資金調達環境を強化しているのです。政策金利の低下はOIS連動の資金調達コストを削減する一方、量的引き締めは国債利回りの上昇圧力を維持します。この複合効果により利回り・資金調達スプレッドが拡大し、フォワード構造にさらなるキャリー利益が組み込まれます。
しかしながら、あらゆるタームプレミアム戦略と同様に、実現結果は経路依存性を帯びます。インフレ動向、財政軌道、あるいは金融政策における予期せぬ変化は、期待されるキャリーを急速に損なう可能性があります。
CMTオートコール-タームプレミアムへの新たなエクスポージャー
CMT(Constant Maturity Term)は、ソブリン債券市場における定常満期スワップ(CMS)の対となる指標です。CMSと同様に、透明性が高く観測可能な価格形成を提供します。相違点は、CMTがスワップ市場ではなく政府債券イールドカーブに裏付けられているため、銀行信用リスクや担保付スワップリスクではなく、ソブリン・デュレーションリスクを直接測定する点にあります。
例えば、米ドル建て20年物CMTは、米国債カーブ上のスポット20年物利回りを表し、最も近い2つのベンチマーク債券間の線形補間により算出されます。フランスの同等指標であるTEC(Taux de l’Échéance Constante)は、フランス銀行が同様の原理で公表しています。フォワード開始型CMTはこの枠組みをさらに拡張します。例えば、日本円建て3年物CMT10年物(JPY 3y CMT 10-year)は、10年物日本国CMTの3年物フォワードを表します。この標準化により、ソブリン・ターム・ストラクチャーに直接連動するオプションや構造化ペイオフの構築が可能となります。
2024年半ば以降、CMT連動型構造化商品(特にフランス10年物CMT(TEC10)および米国10年物CMTを参照する商品)が複数の流通チャネルで発行されております。代表的な構造としては、長期満期のユーロ中期債、参照CMTの水準に連動する条件付クーポン、自動償還条項などが挙げられます。株式構造化商品で確立されたアテナ、メモリー、エアバッグなどのバリエーションが、TEC10、UST10、JGB10、ITALY10などの金利原資産に適応されています。
その基本的な仕組みは、フォワード・イールドカーブの形状から直接導き出されます。
フォワードカーブが急勾配の場合、デジタルフロアオプションの価値はアウト・オブ・ザ・マネーになるほど低下する傾向があります。この価値の減少により、生成されるクーポンの価値が高まり、カーブの傾斜に内在するキャリーを効果的に捉えることができます。
現在の市場環境では、バリアやスレッショルドを利回り分布の過去最高分位点に設定することが可能であり、製品の魅力を高めることができます。
オートコール機能は、コール可能債券に匹敵するオプション性を導入し、償還プロファイルをソブリン利回りの推移に明確に連動させます。
具体例として、10年物CMTに連動し、元本100%保護を提供する8年物アテナ・エアバッグをご検討ください。本商品は以下のルールに基づき、条件付きで年率6%のクーポンを提供します:
- 観察日(1年目から7年目):CMTが4%を下回る場合、投資家は経過年数(n)×6%の利回りを償還時に受け取る権利を確定します。
- 満期時(8年目):CMTが4.80%を下回る場合、投資家は元本の100%+48%(すなわち6%×8年)を受け取ります。
それ以外の場合は、元本100%のみを受け取ります。
この意味で、CMTオートコールは、構造化商品がどのようにソブリン・デュレーション・リスクを投資家ベース全体に再分配できるかを示しています。より広く言えば、ソブリン・カーブにおけるタームプレミアムの再出現が、スワップ・ベンチマークではなく国債利回りに直接連動する、新たな標準化された商品へとどのように転換されているかを示しています。
資産スワップスプレッド取引 ― 収益率対スワップのデジタル戦略
従来のスティープナー参加者(例:CMS10y–CMS2y)のもう一つの活動領域は、CMTとCMS間の資産スワップスプレッドに対するデジタルスタイルのポジションです。これらの構造では、ペイオフは同一満期のソブリン利回りとスワップレートの相対的なパフォーマンスを反映します。
資産スワップスプレッドカーブ(同一期間の政府債券利回りとスワップレートの差として定義される)は、通常、上向きに傾斜しています。この形状は、以下の二つの構造的要因を反映しています:
- 国債利回り曲線に内在する期間プレミアム。
- 年金基金や保険会社による長期デュレーションへの持続的な需要に起因する、スワップ曲線におけるヘッジプレミアム。
実際には、ソブリン利回り曲線は満期とともに急勾配になることが多い一方で、スワップ曲線は長期端で平坦化する傾向があります。この乖離は、特にデジタル形式において、両曲線の構造的な差を分離する戦略の余地を生み出します。
これらの取引の利点は、ボラティリティ調整後のキャリー収益という観点から理解できます。フォワード・スワップレートは一般的に、フォワード国債利回りよりも低いキャリー収益をもたらし、逆イールドカーブ環境ではマイナスのキャリー収益を意味することさえあります。しかし、国債利回りとスワップレートの相関性は高く、両者のボラティリティ水準は概ね同等です。これは、市場環境や発行体によっては、こうした取引のボラティリティ調整後キャリー収益が、それらのスプレッドのボラティリティと同程度の規模であることを示唆しています。
本質的に、この取引は金利市場における構造的な形状を分離します。すなわち、一方のカーブは債券ファイナンスに対するリスクプレミアムの重みでスティープニング(急峻化)する一方で、他方のカーブはヘッジフローの影響でフラットニング(平坦化)する構造です。バイナリー(二者択一)のオプション的フォーマットで表現されることで、当該スプレッドの持続性、あるいは平均回帰性に関する見解を具体化するものです。
具体例として、TEC-CMSスプレッドに連動する10年物コール可能レンジ・アクルレーション債をご検討ください。本商品は100%元本保護と年5%のクーポンを提供し、以下の条件が適用されます:
- ・クーポン積算:TEC-CMSスプレッドが1%を下回る日数に応じて、償還時まで日数計算ベースで年5%の収益が投資家に支払われます。
- コール権:発行者は、年次観察日に満額償還する権利を有します。
利回りボラティリティ ― 従来のスワップション戦略を超えた新たな手法
金利市場において、スワプションボラティリティは長らく不確実性の基準指標として機能してまいりました。流動性の高いスワップ市場に裏付けられ、特にスワップレートと国債利回りのスプレッドが狭く安定している状況下では、債券市場ボラティリティの一貫した代替指標として作用します。
しかしながら、その安定性は保証されていません。ストレス局面、すなわちソブリンリスクプレミアムが拡大したりスワップ市場が逼迫したりする時期には、債券とスワップが大きく乖離し、スワプションベースの測定値の精度が低下する可能性があります。こうしたシナリオでは、ボラティリティを国債利回りに直接連動させる代替手法が考えられます。
その原理は明快です:スワップ商品から間接的に債券市場の変動性を推測する代わりに、ボラティリティを債券オプション契約やCMTフィキシングに連動する商品を通じて測定・移転することが可能です。これは流動性と確立されたモデリング基盤を提供するスワプションに代わるものではなく、むしろソブリン利回りのボラティリティを直接的に表現する手法を導入するものです。
実用的な観点からは、既存のユーロ現金決済スワプションのアーキテクチャを適応させ、CMTフィキシングにアンカーするスケーラブルな設計が考えられます。メカニズムは同一のままです——同じギリシャ指数、同じヘッジ原則——ただし原資産がソブリン利回り曲線に置き換えられます。
この枠組みは、スワプション市場の分析的・流動性インフラと、政府のターム構造への直接的なエクスポージャーという二つの領域を橋渡しします。これにより、ソブリン利回りのボラティリティを中立的に分離する手段が提供され、タームプレミアムや資金調達ダイナミクスが変動しやすい環境において、スワップベースの商品を補完します。
タームレポの役割-資金調達という隠れた原動力
あらゆるCMT連動型または利回り連動型構造には、タームレポへの直接的なエクスポージャー、そして重要なことに、その時間的変化へのエクスポージャーが組み込まれています。
ディーラーの視点では、ペイオフを再現するには、レポ市場で債券ポジションの資金調達を行い、状況変化に応じてその資金調達を積極的に管理する必要があります。このプロセスの主要な参照点は、CMEなどが公表するレポ資金調達レートのオーバーナイトベンチマークであり、これは清算済みレポ水準をオーバーナイトベースで追跡するものです。
レポとOISのスプレッドは、オーバーナイト期間における担保としての現金と債券の相対的な報酬率を表します。この論理を拡張すると、特定の満期におけるレポ・OISベーシスは、この現金担保差の経時的な予想経路を反映しています。
フォワード利回りの決済における資金調達部分を管理するため、ディーラーは以下のいずれかの方法を採用することがあります:
- 債券のフォワード・スワップまたはトータル・リターン・スワップを利用し、間接的に資金調達を再現する方法、あるいは
- 適切な満期でレポ・OISベーシススワップ(€STR、Sonia、Tonar、SOFRなど対)を通じて直接対処し、同時に短期満期の債券に対するトータルリターンスワップやレポレッグの組み込みにより、バランスシートの活用を最適化する方法です。
概念的には、レポ・OISベーシスは、株式指数トータルリターン先物のデリバティブ版として機能します。つまり、資産を保有することによる経済的効果を、その資金調達コストから分離しますが、バランスシートへの負荷はそれほど大きくありません。
重要な点として、先物債券、CMT連動債、その他の先物利回りを指標とする商品に対する需要が高まると、この需要がタームレポに上昇圧力を及ぼします。タームレポカーブには、満期変換コストと資金調達に内在する時価評価リスクの両方を反映したプレミアムが組み込まれます。このプレミアムは、スポットレポ-OISオーバーナイトベーシスとその先物価値の差を比較することで概算できます。
したがって、資金調達キャリーを以下の三つの要素に分解することが有用です:
- グロス・キャリー:バランスシート効果や変換効果を排除したベースラインの利回り差を表す、利回り-OISスプレッド。
- 変換プレミアム:レポ・OISベーシス。担保付融資を時間軸で延長するために必要なプレミアムを測定します。
- 貸借対照表コスト:ディーラーの貸借対照表の粘着性と利用可能性の制限を反映した追加費用。
このRFR-OIS市場(まだ発展途上段階)は、初めて、現金と政府債券担保の相対価値を期間ベースで取引するための、拡張性と可視性を備えた形式を提供します。例えば、5年物ベーシス・スワップ(レポOAT対€STR+スプレッド)は、政府債券のオーバーナイト・リファイナンス金利とオーバーナイト現金の報酬との間の、予想される平均日次スプレッドを反映します。
固定利回り市場では、ベーシス商品が投資家層間でリスク移転に長年活用されてきました:金利市場ではユーロibor-€STRやLibor-OIS、外国為替市場では通貨間ベーシスです。レポ-OISベーシスは、この論理をタームレポに拡張し、トレーダーと発行体双方に関連する満期における現金と国債担保の相対価値に関する市場の集合的見解を組み込んでいます。
新たなフロンティアとしての期間プレミアム
タームプレミアムの再浮上は、債券市場における構造的転換を示しています。長年にわたる利回り圧縮の後、ソブリン・カーブは再び長期満期におけるリスク補償を反映するようになりました。これは債務管理、ポートフォリオ構築、デリバティブ構造の設計に直接的な影響を及ぼします。
株式市場では、デリバティブの民主化が市場機能を変革しました。現在、債券市場も同様の転換点を迎えています。現物債券、レポ融資、デリバティブを繋ぐ橋渡し役が、周辺的な活動ではなく市場構造の決定的特徴となりつつあるのです。
CMT連動型商品、資産スワップスプレッド・デジタル商品、RFR-OISベーシス・スワップといった金融商品の開発は、この収束を反映しています。これらは、期間プレミアム、資金調達コスト、ボラティリティが標準化された形式で投資家層間で移転・再配分される仕組みを示しています。
高度な技術の統合による流動性の向上と債券市場の電子化、そして洗練された資金調達手段の組み合わせが、債券取引の変革を加速させています。この進化により、従来は受動的なキャリー取引であった国債に内在するタームプレミアムを、能動的に取引する戦略へと転換することが可能となりました。
タームプレミアムの復活は、利回りの変化だけでなく、現金、レポ、デリバティブの相互作用の再構築、つまり、債券市場の構造的な再編を意味しています。
Samy Ben Aoun は、バークレイズで欧州大陸の金利取引責任者を務めています。Hamza Hoummady は、バークレイズで欧州の金利取引責任者を務めています。
編集:ルーカス・ベッカー
コンテンツを印刷またはコピーできるのは、有料の購読契約を結んでいるユーザー、または法人購読契約の一員であるユーザーのみです。
これらのオプションやその他の購読特典を利用するには、info@risk.net にお問い合わせいただくか、こちらの購読オプションをご覧ください: http://subscriptions.risk.net/subscribe
現在、このコンテンツを印刷することはできません。詳しくはinfo@risk.netまでお問い合わせください。
現在、このコンテンツをコピーすることはできません。詳しくはinfo@risk.netまでお問い合わせください。
Copyright インフォプロ・デジタル・リミテッド.無断複写・転載を禁じます。
当社の利用規約、https://www.infopro-digital.com/terms-and-conditions/subscriptions/(ポイント2.4)に記載されているように、印刷は1部のみです。
追加の権利を購入したい場合は、info@risk.netまで電子メールでご連絡ください。
Copyright インフォプロ・デジタル・リミテッド.無断複写・転載を禁じます。
このコンテンツは、当社の記事ツールを使用して共有することができます。当社の利用規約、https://www.infopro-digital.com/terms-and-conditions/subscriptions/(第2.4項)に概説されているように、認定ユーザーは、個人的な使用のために資料のコピーを1部のみ作成することができます。また、2.5項の制限にも従わなければなりません。
追加権利の購入をご希望の場合は、info@risk.netまで電子メールでご連絡ください。
詳細はこちら 市場
ドルのドーシードー:ヘッジ業者たちが為替相場の動きを分析
イラン情勢の混乱を受け、米ドルが一時的に安全資産としての地位を取り戻したことで、実需投資家はヘッジ取引を一時中断しています
中東危機によりVKOへの需要が再燃した――一風変わった形で
株式投資家は、2022年の最良のヘッジ手段とルックバック・オプションを組み合わせることで、不安と楽観のバランスを取っています
小規模な債券ファンドが、巨額のソブリンCDS取引という主流から外れる
カウンターパーティ・レーダー:ボストン・マネジメント・アンド・リサーチは、より限定された発行体群に対して、ヘッジを重視した大規模なポジションを構築しています
GenAIの時代において、未だに優れたモデルが必要なのはなぜなのか?
ジャン=フィリップ・ブショー氏は、モデルが人工知能をレジームシフトの過程で導き、過学習から遠ざけることができると述べています
インドの銀行各社、USD/INR取引の解消に向けて時間との戦いを繰り広げている
4月10日までに、推定70億ドル規模の未決済アービトラージ取引が決済されなければいけません
smartTradeは、ダイレクトストリーミングの中核となる役割を目標に
同社は、資産クラスを横断するAPI直接取引ソリューションに対する需要の高まりを取り込む計画です
スワップ先物の復活
CMEのクロスマージン制度とREITヘッジが、Eris契約の新たな成長を牽引しています
素人のための暗号資産:EDXが新たな資産クラスに新たな工夫を凝らす
シタデルが支援する企業が、伝統的なリスク管理の概念をデジタル資産に応用――現在は銀行を引っかける試みをしています