Journal of Risk Model Validation
ISSN:
1753-9587 (online)
Editor-in-chief: Steve Satchell
A FAVAR modeling approach to credit risk stress testing and its application to the Hong Kong banking industry
Need to know
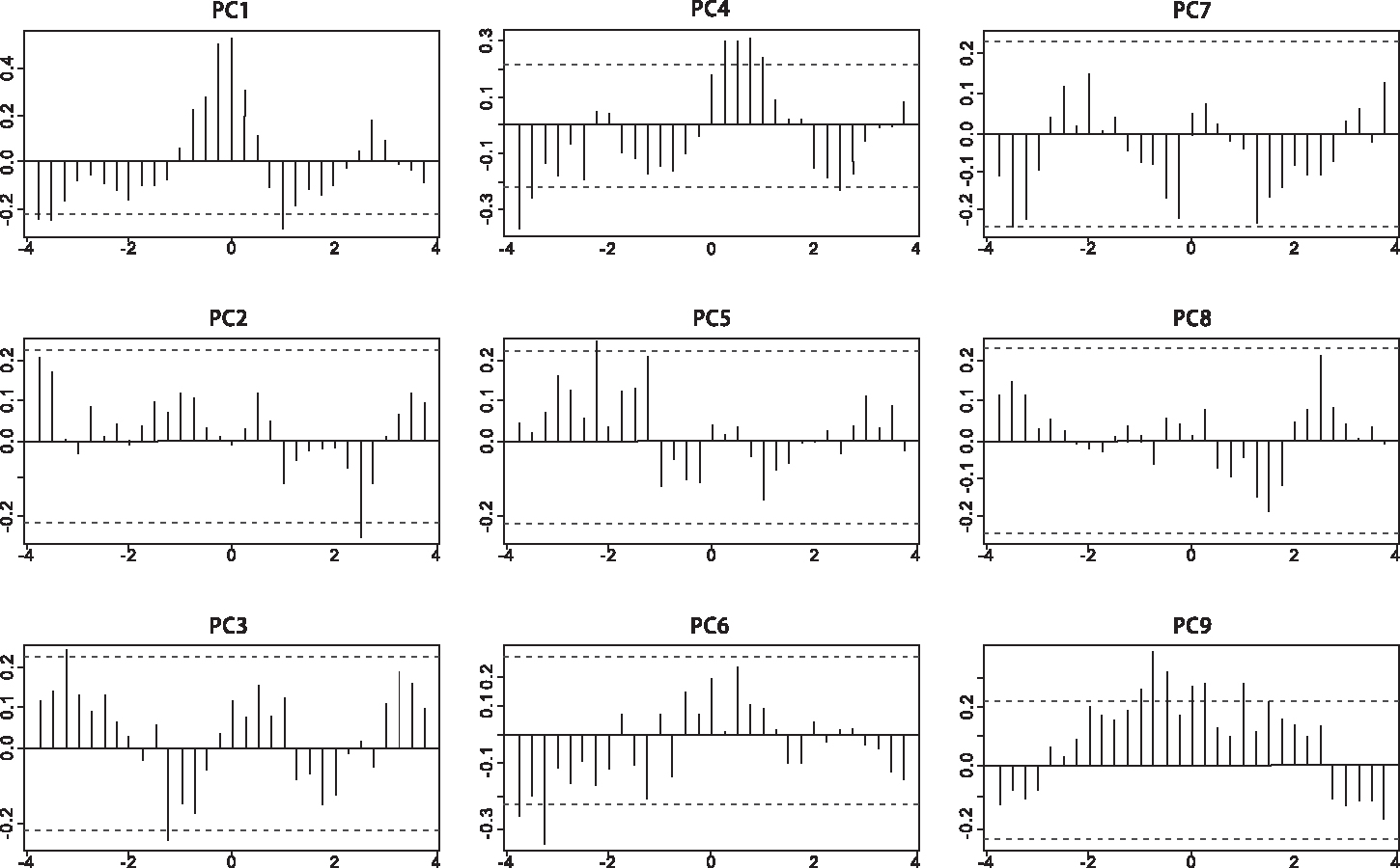
- An empirical credit risk stress testing model is proposed to utilize the information of a large number of macroeconomic variables as model input without curse of dimensionality.
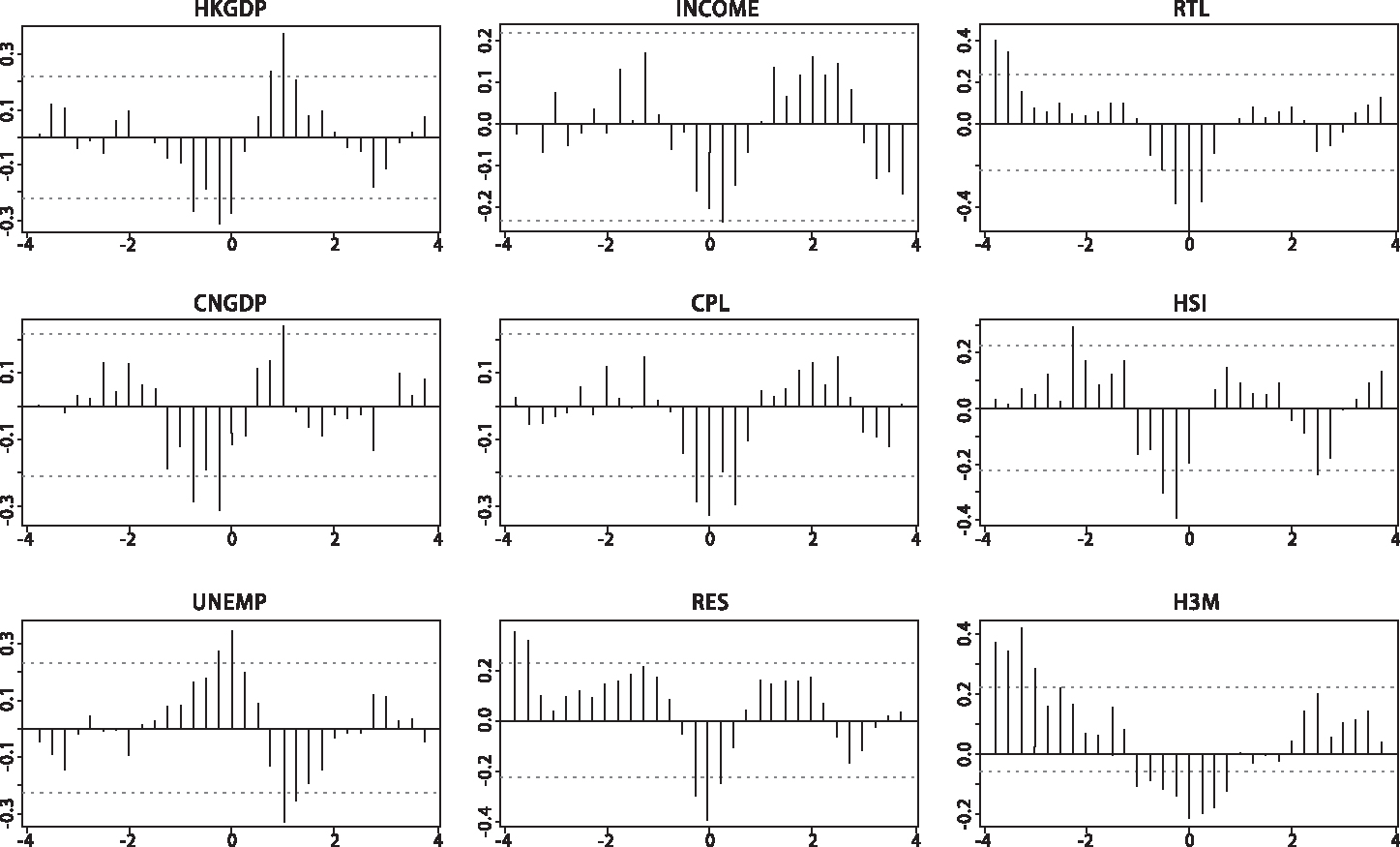
- The dynamic inter-relationship among macroeconomic variables and credit risk loss measures is studied without exogeneity assumption.
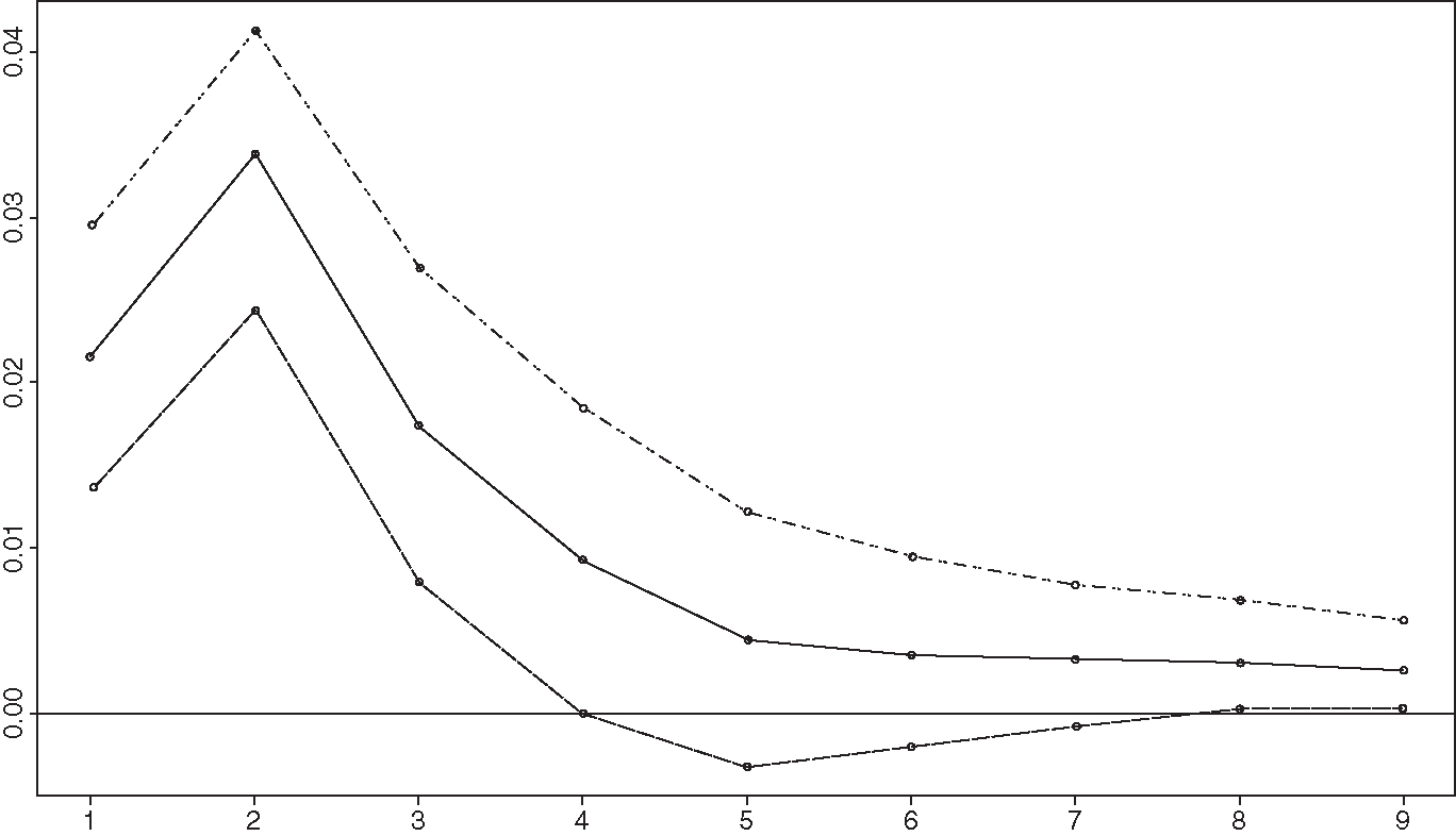
- Multi-period projection of credit risk loss in response to macroeconomic shocks is constructed by utilizing impulse response function.
- The proposed model is applied to explore the credit risk loss of Hong Kong banking industry over the period of historical financial crisis.
Abstract
In October 2018, the Basel Committee on Banking Supervision (BCBS) published its stress testing principles. One of these principles is about stress testing model validation, aided by business interpretation, benchmark comparison and backtesting. In this paper, a credit risk stress testing model based on the factor-augmented vector autoregressive (FAVAR) approach is proposed to project credit risk loss under stressed scenarios. Inherited from both factor analysis (FA) and the vector autoregressive (VAR) model, the FAVAR approach ensures that the proposed model has many appealing features. First, a large number of model input variables can be reduced to a handful of latent common factors to avoid the curse of dimensionality. Second, the dynamic interrelationship among macroeconomic variables and credit risk loss measures can be studied without exogeneity assumptions. Moreover, the application of the impulse response function facilitates the multiperiod projection of credit risk loss in response to macroeconomic shocks. All of these features make the proposed modeling framework a potentially handy solution to fulfilling the BCBS requirement of quantitative adequacy assessment of banks’ internal stress testing results with a benchmark model. The scope of its application can also extend to impairment modeling for International Financial Reporting Standard 9, which requires the projection of credit risk losses over consecutive periods under different macroeconomic scenarios.
Copyright Infopro Digital Limited. All rights reserved.
As outlined in our terms and conditions, https://www.infopro-digital.com/terms-and-conditions/subscriptions/ (point 2.4), printing is limited to a single copy.
If you would like to purchase additional rights please email info@risk.net
Copyright Infopro Digital Limited. All rights reserved.
You may share this content using our article tools. As outlined in our terms and conditions, https://www.infopro-digital.com/terms-and-conditions/subscriptions/ (clause 2.4), an Authorised User may only make one copy of the materials for their own personal use. You must also comply with the restrictions in clause 2.5.
If you would like to purchase additional rights please email info@risk.net