Journal of Computational Finance
ISSN:
1755-2850 (online)
Editor-in-chief: Christoph Reisinger
The CTMC–Heston model: calibration and exotic option pricing with SWIFT
Abstract
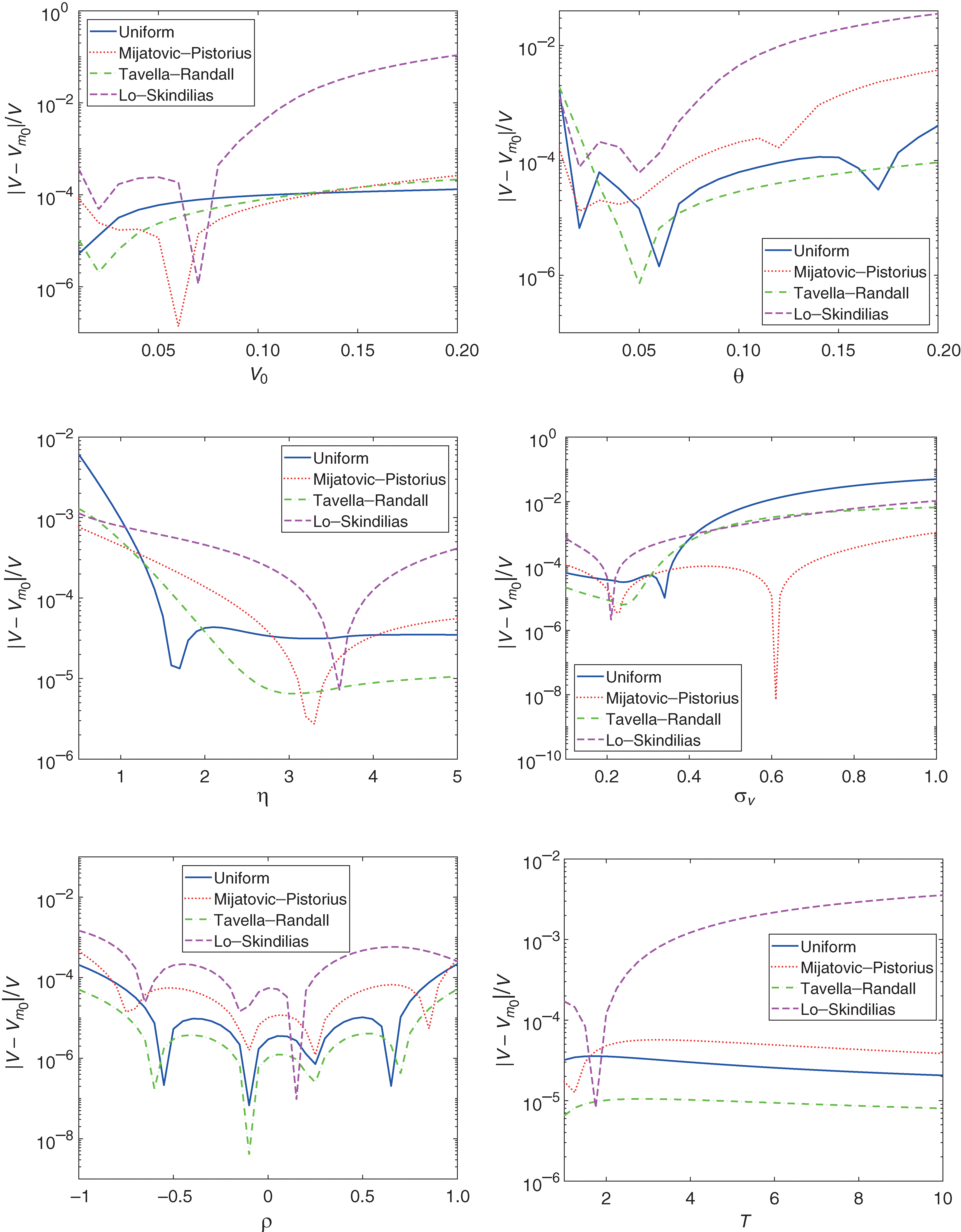
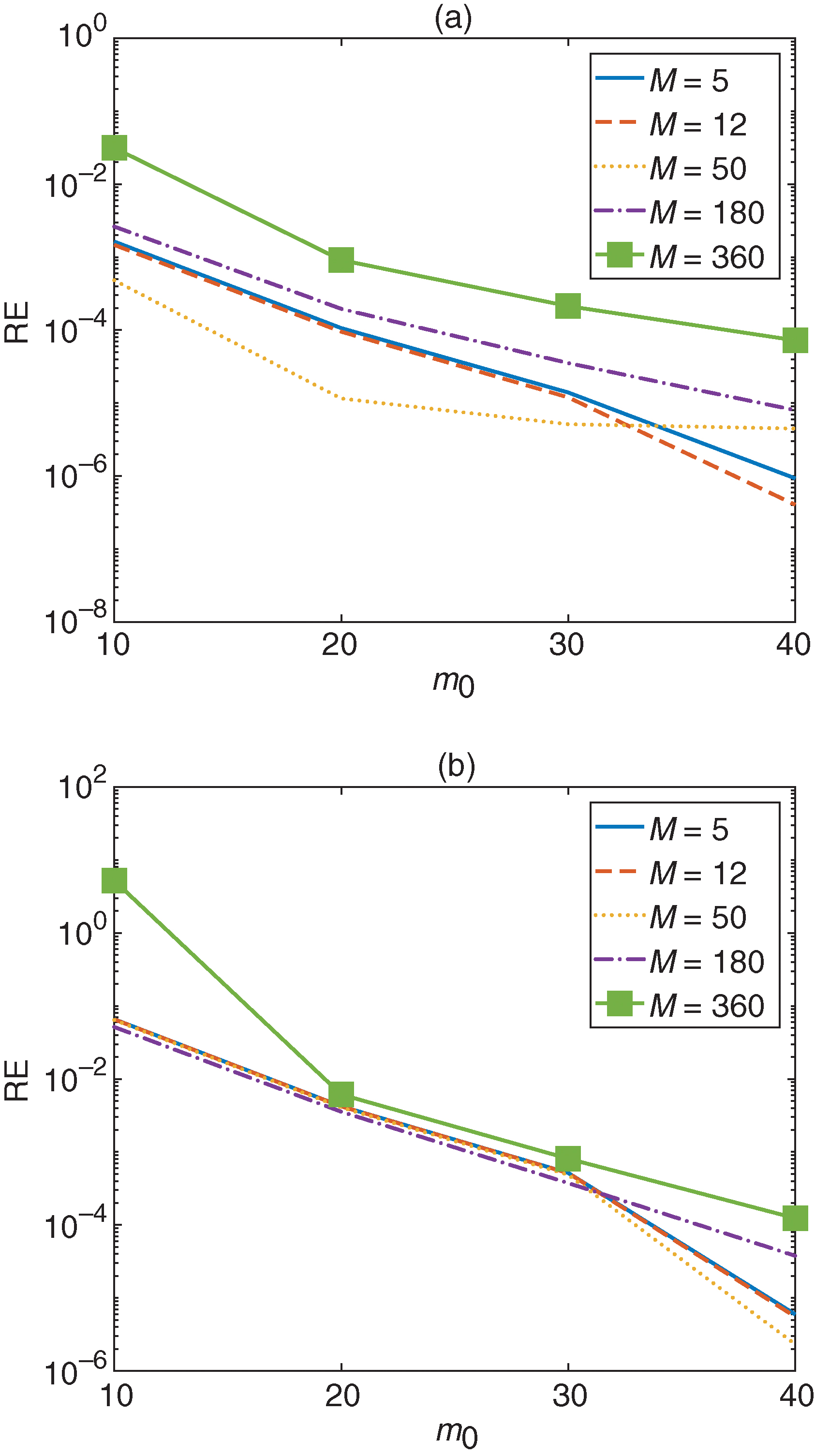
This work presents an efficient computational framework for pricing a general class of exotic and vanilla options under a versatile stochastic volatility model. In particular, we propose the use of a finite state continuous time Markov chain (CTMC) model, which closely approximates the classic Heston model but enables a simplified approach for consistently pricing a wide variety of financial derivatives. Under the CTMC–Heston model, we show that the shape of the implied volatility is preserved (hence, it has an equivalent ability to calibrate market smiles), yet it may price complex derivatives such as Asian options, variance swaps/options and cliquets with great efficiency. To accomplish this, we employ Markov chain approximation techniques, which have been gaining traction in the recent literature. We expect that this framework will have significant practical appeal, given the widespread adoption of the Heston model and the present difficulties that arise in pricing complex products.
Copyright Infopro Digital Limited. All rights reserved.
As outlined in our terms and conditions, https://www.infopro-digital.com/terms-and-conditions/subscriptions/ (point 2.4), printing is limited to a single copy.
If you would like to purchase additional rights please email info@risk.net
Copyright Infopro Digital Limited. All rights reserved.
You may share this content using our article tools. As outlined in our terms and conditions, https://www.infopro-digital.com/terms-and-conditions/subscriptions/ (clause 2.4), an Authorised User may only make one copy of the materials for their own personal use. You must also comply with the restrictions in clause 2.5.
If you would like to purchase additional rights please email info@risk.net